首页
MK sports
达威简介
达威历程
管理团队
组织架构
资质荣誉
企业文化
产品中心
剪板机
折弯机
卷板机
液压机
新闻中心
公司新闻
行业资讯
视频中心
通知公告
人力资源
人才理念
加入达威
联系我们
产品展示
当前位置:
首页
- 产品展示 - 折弯机
产品中心
剪板机
折弯机
卷板机
液压机
联系方式
WC67Y-400T6000
发布时间:2019/5/16 16:08:31 阅读:
2616
次
产品详情
产品介绍
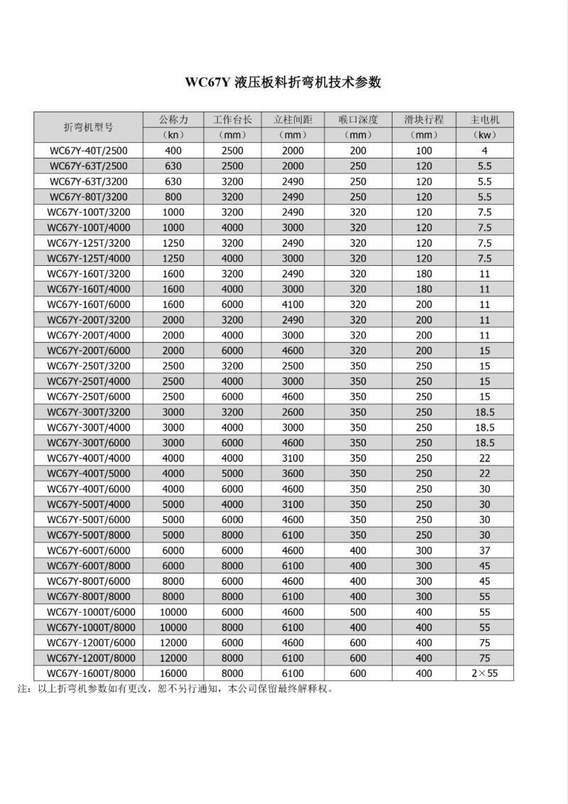
技术参数
产品视频
应用案例
上一篇:WC67Y-300T4000
下一篇:WC67Y-400T9300
华亿线上平台(集团)官方网站
|
华体会买球
|
MK体育
|
安博在线(中国)唯一官方网站
|
开云电子_开云电子(中国)
|
c7网页版
|
西甲体育「中国」官方网站
|
爱游戏官网入口_爱游戏中国
|
米兰官方站网页版
|